:::: MENU ::::

Nas últimas duas postagens (acesse-as por aqui) vimos como somar, subtrair, multiplicar e dividir letras em uma expressão algébrica. Mas, numa expressão algébrica há outras operações envolvendo letras além dessas, a saber, as potências e as raízes. Nessa postagem vamos ver o que fazer quando aparecem potências e raízes de letras em expressões algébricas. Para isso, vamos lembrar as definições de potências com expoentes naturais, inteiros e racionias e também a definição de raiz de índice $n$. Já vimos nas postagens anteriores que as letras são chamadas de incógnitas ou variáveis. Daqui em diante as chamaremos incógnitas.

Potências e raízes de letras

Para entender como funcionam ou o que significam as potências e as raízes de uma incógnita basta lembrar que as incógnitas representam números, assim, todas as definições e propriedades envolvendo potências e raízes de números também valem para as incógnitas, a diferença é, como a própria palavra incógnita nos diz, a incógnita é um número que não sabemos qual é. 

Definições de potências com expoentes naturais e inteiros

Considere um número real $x$ qualquer ($x$ é uma incógnita). Chamamos de potência de base $x$ e expoente natural $n$ o número $x^n$, o qual é definido como segue:
$$\left\{\begin{array}{l} x^0 = 1 \mbox{ se } x \neq 0 \\ x^n = x^{n-1} \cdot x \mbox{ para todo } n \in \mathbb{N} \mbox{ e } n \geq 1.\end{array} \right.$$
Para ficar ainda mais claro, vamos escrever algumas potências para alguns valores de $n$:
$$\begin{eqnarray} x^0 &=& 1 \\ x^1 &=& x^0 \cdot x = x \\ x^2 &=& x^1 \cdot x = x \cdot x \\ x^3 &=& x^2 \cdot x = x \cdot x \cdot x \\ x^4 &=& x^3 \cdot x = x \cdot x \cdot x \cdot x \\ x^5 &=& x^4 \cdot x = x \cdot x \cdot x \cdot x \cdot x \\ \vdots & & \\ x^n &=& x^{n-1} \cdot x = \underbrace{x \cdot x \cdots x}_{n \; fatores}  \end{eqnarray}$$

Dado um número real $x$ ($x$ é uma incógnita), diferente de zero, e um número inteiro positivo $n$, definimos a potência de base $x$ e expoente $-n$, denotada por $x^{-n}$, (observe que, se $n$ é positivo, $-n$ será negativo) como sendo
$$x^{-n} = \displaystyle\frac{1}{x^n}.$$

Pela definição acima, vemos que $x^{-n}$, com $x \neq 0$, é o inverso de $x^n$. Também podemos dizer que $x$ está elevado a $-n$.

Definição de raiz de índice $n$

Considere um número natural $n$ maior que $1$ e $x$ um número real (uma incógnita). Chamamos de raiz de índice $n$ ou raiz $n$-ésima do número real $x$ ao número real $b$, de mesmo sinal que $x$, tal que $b^n = x$. Denotamos a raiz de índice $n$ (raiz $n$-ésima) de $x$ por $\sqrt[n]{x}$ onde $n$ é o índice da raiz e $x$ é o radicando.

O símbolo $\sqrt[n]{ \mbox{ }}$ é chamado radical

Quando o índice é igual a $2$, chamamos a raiz de índice $2$ de raiz quadrada e, no radical que a denota, omitimos o número $2$, ficando na forma $\sqrt{x}$. Quando o índice é igual  a $3$, chamamos a raiz de índice $3$ de raiz cúbica. Somente quando o índice é igual a $2$ é que omitimos o índice no radical, assim, os radicais com índice maior ou igual a três devem conter o índice na sua notação, por exemplo, $\sqrt[3]{x}$. Quando o índice da raiz é igual a $4$, chamamos a raiz de índice $4$ de raiz quarta. Se o índice for igual a $5$, chamamos a raiz de índice $5$ de raiz quinta. Seguindo esse raciocínio, nomeamos as raízes de índices superiores.

Na definição de raiz de índice $n$ está explicado o que significa $\sqrt[n]{x}$. Mas quando aparece uma raiz dessa numa expressão algébrica, a intenção não é calculá-la, mas simplificá-la, se possível.

Definição de potência com expoente racional

Dados $x \in \mathbb{R}$ com $x \geq 0$ e $\displaystyle\frac{p}{q} \in \mathbb{Q}$, com $p \in \mathbb{Z}$ e $q \in \mathbb{N}$, $q \neq 0$, definimos a potência de base $x$ e expoente $\displaystyle\frac{p}{q}$ por
$$a^{\frac{p}{q}} = \sqrt[q]{x^p}.$$

A definição de potência com expoente inteiro negativo se extende para o caso em que o expoente é um número racional negativo, isto é,

Dado um número $x$ ($x$ é uma incógnita), diferente de zero, e um número racional positivo $\displaystyle\frac{p}{q}$, com $q \neq 0$ definimos a potência de base $x$ e expoente $-\displaystyle\frac{p}{q}$, denotada por $x^{-\frac{p}{q}}$, como sendo
$$x^{-\frac{p}{q}} = \displaystyle\frac{1}{x^{\frac{p}{q}}}.$$

Guarde bem essas definições, elas são fundamentais na simplificação de expressões algébricas.

Propriedades das potências e das raízes

Propriedades das potências: Sejam $m,n \in \mathbb{Q}$ e $x,y \in \mathbb{R}$ (incógnitas). Temos

(i) $x^m \cdot x^n = x^{m+n}$;

(ii) $\displaystyle\frac{x^m}{x^n} = x^{m-n}$;

(iii) $(x \cdot y)^n = x^n \cdot y^n$;

(iv) $\left(\displaystyle\frac{x}{y}\right)^n = \displaystyle\frac{x^n}{y^n}$ se $y \neq 0$;

(v) $(x^m)^n = x^{m \cdot n}$

Propriedades das raízes: Sejam $x,y \in \mathbb{R}$, com $x,y \geq 0$ (incógnitas), $m \in \mathbb{Z}$ e $n,p \in \mathbb{N}$ onde $m \neq 0$ e $n,p \geq 2$. Valem:

(i) $\sqrt[n]{x^n} = x$;

(ii) $\sqrt[n]{x \cdot y} = \sqrt[n]{x} \cdot \sqrt[n]{y}$;

(iii) $\displaystyle\sqrt[n]{\displaystyle\frac{x}{y}} = \displaystyle\frac{\sqrt[n]{x}}{\sqrt[n]{y}}$ se $y \neq 0$;

(iv) $(\sqrt[n]{x})^m = \sqrt[n]{x^m}$;

(v) $\sqrt[p]{\sqrt[n]{x}} = \sqrt[p \cdot n]{x}$;

(vi) $\sqrt[n]{x^m} = \sqrt[n \cdot p]{x^{m \cdot p}}$.

(vii) Se $\sqrt[n]{x} = y$, temos que $x^n = y$. Assim, $(\sqrt[n]{x})^n = y^n = x$ e, portanto, $(\sqrt[n]{x})^n = x$.

Na prática, para simplificar ou reescrever expressões algébricas com potências e raízes, usamos as propriedades das potências e das raízes listadas acima. Vamos ver a seguir exemplos de como usá-las em expressõe algébricas.

Exemplos:

Nos exemplos a seguir, $x$, $y$ e $z$ são incógnitas.

1. $2x^2 \cdot 5x^3= 10x^{2+3} = 10x^5$

2. $3x^5x^{-3} = 3x^{5-3} = x^2$

3. $x\sqrt{x} = 2xx^{\frac{1}{2}} = 2x^{\frac{3}{2}} = 2\sqrt{x^3}$. Observe que nesse exemplo reescrevemos $\sqrt{x}$ em $x^{\frac{1}{2}}$ de acordo com a definição de portência  com índice racional e usamos propriedade (i) das potências.

4. $\displaystyle\frac{\sqrt{x}y^2\sqrt{x}}{y} = \displaystyle\frac{\sqrt{x}\sqrt{x}y^2}{y} = \displaystyle\frac{(\sqrt{x})^2y^2}{y} = xy$

Para facilitar a simplificação de produtos de radicais de uma incógnita, podemos escrever os radicais em forma de potência com expoente racional, usar as propriedades de potências e depois, se necessário, escrever o resultado (a simplificação)  na forma de radical.

5. $\sqrt{x}\sqrt[3]{x^4} = x^{\frac{1}{2}}x^{\frac{4}{3}} = x^{\frac{1}{2}+\frac{4}{3}} = x^{\frac{11}{6}} = \sqrt[6]{x^{11}}$

6. $3x^22yx^{-3} = 6x^2x^{-3}y=6x^{-1}y = 6 \cdot \displaystyle\frac{1}{x} \cdot y = \displaystyle\frac{6y}{x}$

7. $x^{-4}y^43x^5\displaystyle\frac{1}{2}y = \displaystyle\frac{3}{2}x^{-4}x^{5}y^4y = \displaystyle\frac{3}{2}xy^5 = \displaystyle\frac{3xy^5}{2}$

8. $x^2yx^{-3}y^{-2} = x^{2}x^{-3}yy^{-2} = x^{-1}y^{-1} = (xy)^{-1} = \displaystyle\frac{1}{xy}$

9. $\sqrt{x}y\sqrt{y^3}x^{2} = x^{\frac{1}{2}}x^{2}yy^{\frac{3}{2}} = x^{\frac{5}{2}}y^{\frac{5}{2}} = (xy)^{\frac{5}{2}} = \sqrt{(xy)^5}$

Antes de continuar os exemplos, vamos ver o que acontece quando temos um potência com expoente negativo (que pode ser uma fração) de uma incógnita $x$ no denominador
\begin{eqnarray} \frac{1}{x^{-n}} &=& \frac{1}{\frac{1}{x^n}} \\ &=& 1 \cdot \frac{x^n}{1} = x^n \end{eqnarray}

Podemos concluir então que, se um potência negativa está no denominador, ela pode "subir" trocando o sinal do expoente.

Vamos prosseguir com os exemplos:

10. $\displaystyle\frac{3x^4x^2}{x^3} = \displaystyle\frac{3x^6}{x^3} = 3x^3$

11. $\displaystyle\frac{x^5\sqrt{x}}{4x} = \displaystyle\frac{x^4\sqrt{x}}{4} = \displaystyle\frac{x^4x^{\frac{1}{2}}}{4} = \displaystyle\frac{x^{\frac{9}{2}}}{4}$

12. $\displaystyle\frac{5x^33x^{-2}}{x^{-3}} = \displaystyle\frac{15x^{3}x^{-2}}{x^{-3}} = \displaystyle\frac{15x}{x^{-3}} = 15xx^3 = 15x^4$

13. $\displaystyle\frac{5xx^{\frac{6}{5}}y^{-\frac{1}{2}}}{x^2y} = \displaystyle\frac{5x^{\frac{11}{5}}y^{-\frac{1}{2}}}{x^2y} = \displaystyle\frac{5x^{\frac{11}{5}}x^{-2}}{yy^{\frac{1}{2}}} = \displaystyle\frac{5x^{\frac{1}{5}}}{y^{\frac{3}{2}}}$

14. $\displaystyle\frac{x^{\frac{1}{3}}yz^{4}}{xy^{-2}z^{\frac{1}{2}}} = x^{\frac{1}{3}}x^{-1}yy^2z^{4}z^{-\frac{1}{2}} = x^{-\frac{2}{3}}y^3z^{\frac{7}{2}} = \displaystyle\frac{y^3z^{\frac{7}{2}}}{x^{\frac{2}{3}}}$

15. $\displaystyle\frac{x^{\frac{3}{2}}y^{-2}z^2}{x^{-\frac{1}{2}}y^{-3}z} = \displaystyle\frac{x^{\frac{3}{2}}x^{\frac{1}{2}}y^{-2}y^{3}z^2}{z} = xyz$

É muito importante que você saiba todas a propriedades das potências e das raízes para fazer as simplicações nas expressões algébricas. Desse modo, nenhuma delas vai ser um bicho de sete cabeças.

Gostou do conteúdo dessa postagem? Foi útil para você? Tem alguma dúvida? Deixe um comentário.

Na postagem anterior vimos como fazer somas e subtrações em expresões algébricas e já consiguimos fazer simplificações em algumas expressões com essas operações. Nessa postagem vamos aprender como fazer multiplicações e divisões em expressões algébricas. Vamos aprender o que fazer quando números multiplicam ou dividem múltiplos de incógnitas e vamos aprender também o que fazer quando duas incógnitas, iguais ou diferentes, são multiplicadas ou divididas, uma pela outra. Vamos lá!

Como multiplicar e dividir letras?

Vamos ver como multiplicar e dividir letras em partes.

Multiplicando um número por um múltiplo de uma incógnita

Na postagem anterior vimos que como somar e subtrair dois múltiplos de uma incógnita, isto é, vimos como fazer $3x+\displaystyle\frac{1}{2}x$ e $\sqrt{2}x-4x$. Agora, se tivermos um número multiplicando, por exemplo, $5x$? Nesse caso, basta multiplicar este número por $5$ e multiplicar por $x$. Vejamos alguns exemplos:

1. $3 \cdot 4x = 12x$

2. $8 \cdot \displaystyle\frac{2}{3}x = \displaystyle\frac{16}{3}x$. Observe que $8$ pode ser visto como $\displaystyle\frac{8}{1}$ e que, na multiplicação de frações, multiplicamos o de cima (numerador) com o de cima e o de baixo (denominador) com o de baixo.

3. $-\displaystyle\frac{5}{4} \cdot 3x = -\displaystyle\frac{15}{4}x$. Não se esqueça de fazer o jogo de sinal quando aparecer números negativos.

4. $\displaystyle\frac{1}{3} \cdot \left(\displaystyle\frac{4}{7}x\right) = -\displaystyle\frac{4}{21}x$.

5. $4 \cdot \displaystyle\frac{1}{8}x = \displaystyle\frac{4}{8}x = \displaystyle\frac{1}{2}x$. 

6. $\displaystyle\frac{4}{3} \cdot \displaystyle\frac{7}{2}x = \displaystyle\frac{24}{6}x = 4x$

7. $-4 \cdot (-\sqrt{3}x) = 4\sqrt{3}x$. Quando multiplicamos um número que não é uma raiz por uma raiz, não é necessário aproximar o valor da raiz para fazer a conta, pode deixar assim mesmo.

Observação: A multiplicação de um múltiplo de uma incógnita por um número pode ocorrer pela direita, como por exemplo:
$$4x \cdot 5 = 5 \cdot 4x = 4 \cdot 5x = 20x.$$
Isso ocorre pois a incógnita, independentemente de qual for, sempre representa um número e a multiplicação é comutativa.

Multiplicando dois múltiplos de uma incógnita

Como podemos multiplicar $x$ por $3x$ ou $y$ por $2x$? Vamos analisar esses casos separadamente.

Quando as letras são iguais: Precisamos sempre ter em mente que as letras representam números, assim, as propriedades algébricas que as operações possuem com respeito aos números, também possuem com respeito às letras. A multiplicação $5 \cdot 5$ pode ser escrita como $5^2$, a multiplicação $4 \cdot 4 \cdot 4$ pode ser escrita como $4^3$ e assim por diante. Com as letras não é diferente, temos
\begin{eqnarray} x &=& x^1 \\ x \cdot x &=& x^2 \\ x \cdot x \cdot x &=& x^3 \\ &\vdots & \\ \underbrace{x \cdot x \cdots x}_{n \: fatores} &=& x^n \end{eqnarray}
É importante lembrar também que, para as letras também valem todas a propriedades de potenciação (pois elas representam números). Vejas as propriedades da potenciação aqui. Vejamos alguns exemplos

Exemplos: 

8. $x \cdot 4x = x4x = 4xx = 4x^2$. A ordem dos fatores sempre pode mudar, visto que a multiplicação é comutativa.

9. $x \cdot \sqrt[3]{5}x = \sqrt[3]{5}x^2$

10. $-\displaystyle\frac{3}{4}x \cdot 5x = -\displaystyle\frac{3}{4} \cdot 5 x x = -\displaystyle\frac{15}{4}x^2$

11. $\sqrt{2}x \cdot (-4x^2) = -\sqrt{2} \cdot 4 xx^2 = -4\sqrt{2}x^3$. Aqui usamos a propriedade da potenciação que diz que quando multiplicamos potências de mesma base, somam-se os expoentes.

12. $\displaystyle\frac{\sqrt{2}}{5}x^2 \cdot x^3 = \displaystyle\frac{\sqrt{2}}{5}x^2x^3 = \displaystyle\frac{\sqrt{2}}{5}x^5$

Quando as letras não são iguais: Quando multiplicamos duas letras diferentes, por exemplo $x$ por $y$, não há muito o que fazer, basta escrever como "resultado" $xy$. Como não conhecemos quais são os números $x$ e $y$, indicamos a mulplicação de $x$ por $y$ por $xy$, simplesmente. Vejamos alguns exemplos:

13. $y \cdot 3x = y3x = 3xy = 3yx$. Lembre-se sempre que a multiplicação é comutativa.

14. $-5x \cdot \displaystyle\frac{2}{3}y = -5 \cdot \displaystyle\frac{2}{3}xy = -\displaystyle\frac{10}{3}xy$

15. $-\sqrt{5}y^2 \cdot (-x) = -\sqrt{5}y^2x$

16. $\displaystyle\frac{1}{2}y^3 \cdot \sqrt{3}x^5 = \displaystyle\frac{\sqrt{3}}{2}y^3x^5$

Podemos ainda ter os dois tipos de multiplicação abordados acima juntos.

17. $5xy \cdot 4xy^2 = 5 \cdot 4xyxy^3 = 5 \cdot 4 xxyy^3 = 20x^2y^3$

18. $-\displaystyle\frac{5}{6}x^5y^2 \cdot 12x^2y = 10x^7y^3$.

Observação: Fizemos os exemplos usando as letras $x$ e $y$, mas poderíamos ter feito esses mesmos exemplos com outras letras, $a$ e $b$ por exemplo. As letras em si não importam, o que importa é entender como as operações entre elas funcionam. Podemos estender essas ideias acima para um número finito de letras.

Dividindo um múltiplo de uma incógnita por um número

Como podemos fazer $3x$ dividido por $2$? Em uma expressão algébrica, essas divisões aparecem geralmente no formato de uma fração, ou seja, nesse caso teríamos $\displaystyle\frac{3x}{2}$. Dados dois números quaisquer $m$ e $n$ com $n$ diferente de $0$, temos
$$\displaystyle\frac{mx}{n} = \displaystyle\frac{m}{n}x.$$
Assim, $\displaystyle\frac{3x}{2} = \displaystyle\frac{3}{2}x$. Isso nos diz que, se for possível, dividimos o número que multiplica o $x$ e, caso contrário, deixamos como está. Vejamos alguns exemplos.

Exemplos:

19. Podemos deixar a expressão $\displaystyle\frac{4x}{5}$ como está, pois $4$ não é divisível por $5$.

20. $\displaystyle\frac{12x}{6} = \displaystyle\frac{12}{6}x = 2x$

21. $\displaystyle\frac{21}{24}x = \displaystyle\frac{7}{8}x$. Aqui não é possível dividir $21$ por $24$, mas podemos simplificar a fração $\displaystyle\frac{21}{24}$, dividindo por $3$ o numerador e o denominador, obtendo $\displaystyle\frac{7}{8}$.

22. Podemos ter uma divisão de frações também, por exemplo, $\displaystyle\frac{2x}{\frac{2}{3}}$. Nesse caso devemos lembrar como é feita a divisão de frações, copia o de cima e multiplica pelo inverso do debaixo. Assim,
$$\displaystyle\frac{2x}{\frac{2}{3}} = 2x \cdot \displaystyle\frac{3}{2} = 3x$$

23. $\displaystyle\frac{\frac{3}{5}x}{-\frac{4}{3}} = -\displaystyle\frac{3}{5}x \cdot \displaystyle\frac{3}{4} = -\displaystyle\frac{9x}{20}$

24. $\displaystyle\frac{-\sqrt[3]{5}x}{-\frac{\sqrt{2}}{2}} = \sqrt[3]{5}x\displaystyle\frac{2}{\sqrt{2}} = \displaystyle\frac{2\sqrt[3]{5}x}{\sqrt{2}}$

Observação: Nos exemplos acima poderíamos  trocar o $x$ por qualquer potência dele ou ainda pelo multiplicação de mais letras que essas divisões seriam efetuadas da mesma forma.

Dividindo dois múltiplos de uma potência de uma incógnita

Como podemos fazer as divisões $\displaystyle\frac{3x^2}{2x}$, $\displaystyle\frac{-5x^6}{3x^7}$ e $\displaystyle\frac{4y}{\sqrt{2}x}$? Vamos analisar esses dois tipos de divisões separadamente.

Quando as incógnitas são iguais: Sempre devemos nos lembrar que as letras representam números, assim, as propriedades algébricas que as operações possuem com respeito aos números, também possuem com respeito às letras. A divisão $\displaystyle\frac{5^3}{5^2}$ é igual a  $5$ e, obtemos esse resultado usando a seguinte propriedade de potências
$$\displaystyle\frac{5^3}{5^2} = 5^{3-2} = 5^1 = 5$$
Para as letras também vale essa propriedade de potenciação (pois elas representam números). Vejamos alguns exemplos:

Exemplos:

25. No caso particular de dividirmos um número por um múltiplo de uma letra ou uma potência dela, não há o que fazer, o resultado será uma fração com uma letra no denominador, como por exemplo
$$\frac{1}{x}, \: \frac{-\sqrt{2}}{x^3}, \: \frac{3}{5x^2}$$

26. $\displaystyle\frac{3x^4}{x^2} = 3 \displaystyle\frac{x^4}{x^2} = 3x^2$

27. $\displaystyle\frac{\sqrt{5}x^6}{2x^3} = \displaystyle\frac{\sqrt{5}}{2}x^3$

28. $\displaystyle\frac{-3x^3}{5x^7} = -\displaystyle\frac{3}{5} \cdot \displaystyle\frac{x^3}{x^7} = -\displaystyle\frac{3}{5} \cdot x^{-4} = -\displaystyle\frac{3}{5} \cdot \displaystyle\frac{1}{x^4} = -\displaystyle\frac{3}{5x^4}$.
Esse exemplo foi feito em detalhes, mas usando a propriedade de divisão de potência de mesma base, do primeiro sinal de igual, já poderíamos ter pulado para o último. Não há problema em deixar uma letra com potência negativa, se preferir.

29. $\displaystyle\frac{3x}{2x^2} = \displaystyle\frac{3}{x}$

30. $\displaystyle\frac{3x^2}{-\sqrt[3]{9}x^7} = -\displaystyle\frac{3}{\sqrt[3]{9}x^5}$

Quando as incógnitas não são iguais: Quando dividimos duas letras diferentes ou potências dela, por exemplo $x^3$ por $y^2$, não há  o que fazer, basta escrever como "resultado" $\displaystyle\frac{x^3}{y^2}$. Como não conhecemos quais são os números $x$ e $y$, a divisão fica dessa forma mesmo. Vejamos alguns exemplos:

31. $\displaystyle\frac{3x}{4y}$

32. $\displaystyle\frac{6x^2}{2y} = \displaystyle\frac{3x^2}{y}$. Nesse exemplos temos podemos dividir o $6$ pelo $2$, visto que,
$$\displaystyle\frac{6x^2}{2y} = \displaystyle\frac{6}{2} \cdot \displaystyle\frac{x^2}{y} = 3\displaystyle\frac{x^2}{y} = \displaystyle\frac{3x^2}{y}.$$

33. $\displaystyle\frac{10x^3}{8y^2} = \displaystyle\frac{5x^3}{4y^2}$. Observe que $10$ não é divisível por $8$, mas podemos simplificar a fração $\displaystyle\frac{10}{8}$ dividindo do numerador e o denominador por $2$, obtendo a fração $\displaystyle\frac{5}{4}$.

Pode-se ocorrer também divisões misturando o que vimos nos exemplos anteriores, ou seja, duas ou mais incógnitas, tanto no numerador quanto no deniminador.

34. Vamos fazer esse exemplos com mais detalhes.
\begin{eqnarray} \frac{4x^4y^3}{5xy^2} &=& \frac{4}{5} \cdot \frac{x^4}{x} \cdot \frac{y^3}{y^2} \\ &=& \frac{4}{5} x^3 \cdot y \\ &=& \frac{4x^3y}{5} \end{eqnarray}

35. Vamos fazer mais esse exemplos com mais detalhes 
\begin{eqnarray} \frac{\sqrt{3}x^2y}{xy^3} &=& \sqrt{2} \cdot \frac{x^2}{x} \cdot \frac{y}{y^3} \\ &=& \sqrt{2} \cdot x \cdot \frac{1}{y^2} \\ &=& \frac{\sqrt{2}x}{y^2} \end{eqnarray}

36. $\displaystyle\frac{-5x^3y^5}{7xy^2z} = -\frac{5x^2y^3}{7z}$

37. $\displaystyle\frac{10x^2y^5z^2}{-3x^3y^6z} = -\frac{10z}{3xy}$

Viu só? Não é dificícil fazer as contas de multiplicação e divisão com letras, tudo se resume a propriedades operacionais que já conhecemos com os números. Nas próximas postagens veremos como simplificar expressões algébricas mais complicadas.

Resumo da postagem em vídeo com outros exemplos:





Gostou do conteúdo dessa postagem? Foi útil para você? Tem alguma dúvida? Deixe um comentário.

Acredito que a primeira dificuldade de todos que se depararam com uma expressão algébrica pela primeira vez foi fazer contas com letras. Pois, como assim, somar e multiplicar duas letras? Olha, na minha opinião, é bem mais fácil fazer contas com letras do que com números. Meu objetivo a partir dessa postagem é te mostrar como fazer as operações de soma, subtração, multiplicação, divisão, potenciação e racidiação em uma expressão algébrica e fazer você concordar comigo à respeito das contas com as letras. Você vai ver, não há nenhum segredo. Vamos começar com a soma e a subtração nas expressões algébricas. Vamos lá!

Como somar e subtrair letras?

Na postagem anterior vimos que as letras, nas expressões algébricas, representam números. Chamamos a cada letra em uma expressão algébrica de incógnita ou de variável da expressão algébrica. 

Antes de falarmos propriamente da soma e da subtração com as incógnitas, vamos falar um pouco sobre múltiplos dessas incógnitas. Lembrando, um múltiplo de um número ou, no nosso caso, de uma incógnita, é este número ou incógnita multiplicado por outro número. Por exemplo $3 \cdot 5 = 15$ é um múltiplo de $5$ (e também um múltiplo de $3$) e $4x$ é um múltiplo de $x$. Vamos ver a seguir alguns tipos de múltiplos.

Múltiplos inteiros de uma incógnita

Nas expressões algébricas, com uma incógnita $x$, sempre aparecem termos na forma $5x$ ou $-2x$, mas o que significa isso? O número que está na frente do $x$ está multiplicando o $x$. No primeiro caso temos $5$ vezes $x$ e no segundo, $-2$ vezes $x$. Por definição, para qualquer número $n$ inteiro positivo, os múltiplos inteiros de $x$ são definidos como segue:

\begin{eqnarray}0 &=& 0x \\ x &=& 1x \\ x + x &=& 2x \\ x + x + x &=& 3x  \\ & \vdots & \\ \underbrace{x + x + \cdots + x}_{n \; parcelas} &=& nx \end{eqnarray}

e

\begin{eqnarray} -x &=& -1x \\ -x -x = &=& -2x \\  = -x-x-x &=& -3x  \\ & \vdots & \\ \underbrace{-x -x - \cdots -x}_{n \; parcelas} &=& -nx, \; n>0 \end{eqnarray}
 

Múltiplos fracionários de uma incógnita

Dada uma incógnita $x$, podemos pensar em múltiplos frácionários de $x$, isto é, podemos múltiplicar $x$ por uma fração, como por exemplo $\displaystyle\frac{1}{2}x$ e $-\displaystyle\frac{3}{4}x$. Vamos entender o que significa isso. Considere uma fração qualquer $\displaystyle\frac{m}{n}$ onde $m$ e $n$ são números inteiros e $n \neq 0$. Pela definição de multiplicação de frações, temos
$$\displaystyle\frac{m}{n}x=\displaystyle\frac{mx}{n}.$$
Quando uma incógnita $x$ está sendo multiplicado por uma fração, por definição, o numerador da fração (quem está em cima) multiplica o  $x$ (no sentido dos múltiplos inteiros que vimos acima) e o denominador (quem está em baixo) divide o resultado da multiplicação do numerador pela incónita $x$. Por exemplo:
$$\displaystyle\frac{5}{2}x = \displaystyle\frac{5x}{2}, \; \displaystyle\frac{6}{7}x = \displaystyle\frac{6x}{7}, \; -\displaystyle\frac{9}{10}x = \displaystyle\frac{-9x}{10}$$

Quando temos uma fração negativa multiplicando a incógnita, como no último exemplo, valem as igualdades, devido ao jogo de sinais:
$$-\displaystyle\frac{9}{10}x = \displaystyle\frac{-9x}{10} = \displaystyle\frac{9x}{-10}.$$

Lembre-se que todo número decimal com um número finito de casas decimais ou com um número infinito de casas decimais repetindo um padrão (dízimas periódicas) também são frações. Então, múltiplos fracionários podem aparecer assim
$$3,56x; \; -10,1x; \; (6,3333...)x; \; 7,9\overline{87}x$$

Em geral, é bem mais comum aparecer em expressões algébricas múltiplos fracionários com frações do que com números com vírgula. Exceto em raríssimas excessões,  não é necessário tranformar um número com vírgula em fração ou vice e versa para reescrever os múltiplos. A vantagem de se usar uma fração para representar um número decimal é que, com ela, evita-se o uso da vírgula e também o uso de aproxmações para números com vírgula.

Múltiplos irracionais de uma incógnita

Também podemos multiplicar uma incónita por número irracional. Já falamos aqui no blog sobre números irracionais e, para mais detalhes sobre eles, clique aqui. Mas, relembrando, um número irracional é qualquer número real que não pode ser escrito como uma fração, por exemplo, raízes quadradas de números primos e o $\pi$. Assim, exemplos de múltiplos irracionais de uma incógnita $x$ são
$$\sqrt{2}x, \; \pi x, \; -\sqrt{7}x$$

Nesses casos não há muito o que fazer. O ideal é deixar assim mesmo, sem substituir o número irracional por uma aproximação dele.

Outros múltiplos de uma incógnita

Além dos múltiplos que vimos anteriormente, podemos encontrar outros tipos de múltiplos, como por exemplo
$$\displaystyle\frac{2,1}{5}x, \; \displaystyle\frac{4}{3,2}x; \; \displaystyle\frac{5,6}{2,4}x$$
$$\displaystyle\frac{\pi}{2}x, \; -\displaystyle\frac{5}{\sqrt{2}}x, \; \displaystyle\frac{\sqrt[3]{3}}{\sqrt{5}}x$$
$$\displaystyle\frac{3\pi}{2,2}x, \; -\displaystyle\frac{5,3}{\sqrt{2}}x, \; \displaystyle\frac{4\sqrt[3]{2}}{\sqrt{3,4}}x$$

Sempre que tivermos um quociente multiplicando uma incógnita, podemos ver essa multiplicação da mesma forma que vemos a multiplicação de uma incógnita por uma fração, isto é,
$$\displaystyle\frac{2,1}{5}x = \displaystyle\frac{2,1x}{5}, \; -\displaystyle\frac{5}{\sqrt{2}}x = \displaystyle\frac{-5x}{\sqrt{2}},  \; \displaystyle\frac{4\sqrt[3]{2}}{\sqrt{3,4}}x = \displaystyle\frac{4\sqrt[3]{2}x}{\sqrt{3,4}}$$

Agora que entendemos o que significa cada número multiplicando uma incógnita, vamos entender agora como somamos e subtraímos os múltiplos dessa incógnita.

Somando e subtraindo em uma expressão algébrica

O que fazer diante de uma sequência de somas e subtrações com múltiplos de uma incónita? Isso é fácil, basta fazer essas operações entre os números que estão multiplicando a incógnita e depois multiplicar o resultado pela incógnita, não se esquecendo do jogo de sinais. Vamos fazer isso nos seguintes exemplos:

Exemplos:

1. Efetue a soma $3x+8x$.
Solução: Como foi observado, basta somar os números que estão multiplicando o $x$ e multiplicar o resultado por $x$. Como $8+3 = 11$, temos
$$3x+8x=11x$$

2. Efetue a subtração $13x-7x$.
Solução: Do mesmo modo, basta subtrair os números que estão multiplicando o $x$ e multiplicar o resultado por $x$. Como $13-7=6$, temos
$$13x-7x=6x$$

Essa ideia pode ser aplicada em uma sequência de somas e subtrações de múltiplos de uma incógnita $x$. Quando efetuamos os cálculos em uma expressão algébrica, dizemos que estamos simplificando a expressão algébrica, isto é, estamos escrevendo-a de uma forma mais simples, de uma forma menor e com menos operações.

3. Simplifique a seguinte expressão algébrica $4x-3x+8x-4x$.
Solução: Nesse caso você pode efetuar essas operações na sequência em que elas aparecem ou, se preferir, comutar os termos para facilitar o cálculo. Temos:
\begin{eqnarray} 4x-3x+8x-4x &=& x+8x-4x \\ &=& 9x - 4x \\ &=& 5x \end{eqnarray}
ou 
\begin{eqnarray} 4x-3x+8x-4x &=& 4x+8x-3x -4x\\ &=& 12x - 7x \\ &=& 5x \end{eqnarray}

Observe que, no segundo cálculo fizemos, ao mesmo tempo $4x+8x$ que é igual a $12x$, pois $4+8=12$, e $-4x-3x$ que é igual a $-7x$, pois $-4-3=-7$.

Viu só como é fácil? Basta fazer a operação que aparece (soma ou subtração) com os números que estão multplicando a incógnita.

Vamos fazer mais um exemplo como o último.

4. Simplifique a expressão algébrica $\displaystyle\frac{3}{4}x-5x-2x$.
Solução: Temos uma fração multiplicando o $x$ nessa expressão, mas a simplificação dessa expressão é feita da mesma forma como fizemos as anteriores, basta efetuar os cálculos com os números que estão multiplicando a incógnita. Nesse exemplo, vamos somar primeiro os múltiplos inteiros e depois vamos somar o resultado com o múltiplo fracionário. Temos,
\begin{eqnarray} \displaystyle\frac{3}{4}x-5x-2x &=& \displaystyle\frac{3}{4}x -7x \\ &=& -\displaystyle\frac{25}{4}x \end{eqnarray}

Observe que, na última igualdade fizemos a seguinte conta $\displaystyle\frac{3}{4}-7 = \displaystyle\frac{3-4 \cdot 7}{4}=-\displaystyle\frac{25}{4}$. Por esse motivo, $\displaystyle\frac{3}{4}x-7x = -\displaystyle\frac{25}{4}x$.

Observação: Para fazer a soma e a subtração entre dois quocientes quaisquer $\displaystyle\frac{a}{b}$ e $\displaystyle\frac{c}{d}$, sendo $a$, $b$, $c$ e $d$ números rais quaisquer com $b$ e $d$ diferentes de zero, podemos usar a seguinte regra
$$\displaystyle\frac{a}{b} \pm \displaystyle\frac{c}{d}=\displaystyle\frac{da \pm bc}{bd}.$$

Por exemplo
$$\displaystyle\frac{5}{4} + \displaystyle\frac{3}{2}=\displaystyle\frac{2 \cdot 5 +4 \cdot 3}{4 \cdot 2} = \displaystyle\frac{22}{8} = \displaystyle\frac{11}{4}$$

$$\displaystyle\frac{7}{\sqrt{2}} - \displaystyle\frac{5}{3}=\displaystyle\frac{3 \cdot7 - \sqrt{2} \cdot 5}{\sqrt{2} \cdot 3} = \displaystyle\frac{21 - 5\sqrt{2}}{3\sqrt{2}}.$$

E se na expressão algébrica aparecer um número sozinho, sem multiplicar o $x$? E, se além disso aparecer uma outra incógnita, por exemplo, $y$? Aqui nós definimos o que chamamos de termos semelhantes. Em uma expressão numérica, efetuamos os cálculos somente com os termos semelhantes, isto é, entre aqueles que são somente números e aqueles que estão multiplicando uma mesma incógnita. Vamos ver isso nos próximos exemplos.

5. Simpleifique a seguinte expressão algébrica $4x-\displaystyle\frac{3}{2}x+\displaystyle\frac{4}{3}x-2$.
Solução: Para simplificar essa expressão, vamos efetuar os cálculos entre os termos que possuem $x$ e entre os termos que não possuem $x$, que nesse caso é um termo só. Temos,
\begin{eqnarray} 4x-\displaystyle\frac{3}{2}x+\displaystyle\frac{4}{3}x-2 &=& 4x-\displaystyle\frac{1}{6}x-2 \\ &=& \displaystyle\frac{23}{6}x-2 \end{eqnarray}
Como não há nenhum termo semelhante ao $2$, ou seja, não há outro número que não esteja multiplicando o $x$, deixamos como está. Esta é a expressão simplificada, não efetuamos a operação $\displaystyle\frac{23}{6}x-2$ pois esses não são termos semelhantes, um termo contém o $x$ e o outro não.

6. Simplifique a expressão $5x-\sqrt{2}x+4 - 3x+8$.
Solução: Vamos somar os termos semelhantes. Se achar conveniente, antes de efetuar os cálculos, agrupe os termos semelhantes. Vejamos
 \begin{eqnarray} 5x-\sqrt{2}x+4 - 3x+8 &=& 5x-3x-\sqrt{2}x+4+8 \\ &=& 2x-\sqrt{2}x+12 \\ &=& (2-\sqrt{2})x+12 \end{eqnarray}
Observe a subtração dos termos semelhantes $2x-\sqrt{2}x$ ficou na forma $(2 - \sqrt{2})x$. Isso ocorre por que, como vimos, essa operação deve ser feita entre os coeficientes e depois multiplica-se o resultado por $x$. Não precisamos calcular um valor aproximado para $\sqrt{2}$ e fazer a conta, não há problema em deixar essa subtração na forma $(2-\sqrt{2})x$.

7. Simplifique a expressão $\displaystyle\frac{2}{\sqrt{2}}x+ \displaystyle\frac{1}{2}x +1 -4y-3y+11$.
Solução: Nessa expreesão temos termos com $x$, com $y$ e termos sem nenhuma incógnita. Vamos seguir no mesmo raciocínio para efetuar as operações, efetuando-as somente entre os termos semelhantes.
\begin{eqnarray} \displaystyle\frac{2}{\sqrt{2}}x+ \displaystyle\frac{1}{2}x +1 -4y-3y+11 &=& \displaystyle\frac{2}{\sqrt{2}}x+ \displaystyle\frac{1}{2}x -4y-3y+11+1 \\ &=& \displaystyle\frac{2+\sqrt{2}}{2\sqrt{2}}x-7y+12 \end{eqnarray}
Observe que $\displaystyle\frac{2}{\sqrt{2}}+ \displaystyle\frac{1}{2} = \displaystyle\frac{2+\sqrt{2}}{2\sqrt{2}}$ e este cálculo foi feito de acordo com a observação feita anteriormente. Por esse motivo temos $\displaystyle\frac{2}{\sqrt{2}}x+ \displaystyle\frac{1}{2}x = \displaystyle\frac{2+\sqrt{2}}{2\sqrt{2}}x$.

8. Simplifique a expressão algébrica $2x+3-4x+\displaystyle\frac{1}{3}x-y-11-\displaystyle\frac{1}{4}y+5$.
Solução: Seguindo o mesmo raciocínio que usamos nos exemplos anteriores e efetuando as operações entre os termos semelhantes, temos:
\begin{eqnarray}2x+3-4x+\displaystyle\frac{1}{3}x-y-11-\displaystyle\frac{1}{4}y+5 &=& 2x-4x+\displaystyle\frac{1}{3}x-y-\displaystyle\frac{1}{4}y+5+3-11 \\ &=& -2x+\displaystyle\frac{1}{3}x-y-\displaystyle\frac{1}{4}y-3 \\ &=& -\displaystyle\frac{5}{3}x-\displaystyle\frac{5}{4}y-3 \end{eqnarray}

Esses exemplos nos dão condições para lidar com as operações de soma e subtração em expressões algébricas. Podemos estender as ideias apresentadas aqui para expressões com um número qualquer de incónitas. Nessa postagem usamos somente as letras $x$ e $y$ como incógnitas, mas lembre-se que qualquer letra pode ser usada. Bom, este é só um início. Nas próximas postagens abordaremos outros aspectos das expressões algébricas.

Resumo da postagem em vídeo:




Gostou do conteúdo dessa postagem? Foi útil para você? Tem alguma dúvida? Deixe um comentário.


Nessa série de postagens sobre polinômios, dentre outras coisas, estudamos as operações entre polinômios, o que são raízes de polinômios, algumas formas de obter raízes de polinômios e polinômios irredutíveis. Com esses tópicos bem compreendidos, podemos avançar nosso estudo sobre polinômios e começar a tratar da fatoração de polinômios. Nessa postagem estudaremos o que é a fatoração de um polinômio, quando ela pode ser feita e também veremos, por meio de exemplos, algumas maneiras de fatorar um polinômio. Uma das consequência de se fatorar um polinômio é obter todas as suas raízes, então podemos dizer que obter a fatoraração um polinômio é uma forma de obter todas as suas raízes e isso é muito útil. Faremos isso considerando todos os polinômios sobre $\mathbb{R}$. Vamos lá!

Fatoração de polinômios

Primeiramente vamos entender o que é a fatorar um polinômio e também o que é a fatoração um polinômio. 

Fatorar um polinômio $p(x)$ é o processo de escrever esse polinômio como um produto de fatores, ou seja, é o processo de escrever $p(x)$ como um produto de outros polinômios. Cada polinômio desse produto é chamado de fator. A fatoração de um polinômio $p(x)$ é este polinômio escrito como um produto de fatores, isto é, quando se fatora um polinômio $p(x)$, se escreve este polinômio como produto de outros polinômios, este produto de polinômios é chamado fatoração do polinômio $p(x)$.

Podemos considerar dois tipos de fatoração, a fatoração completa e a fatoração incompleta. Uma fatoração de um polinômio $p(x)$ onde todos os fatores são polinômios irredutíveis é chamada fatoração completa de $p(x)$. Caso contrário, a fatoração é chamada fatoração incompleta. Vejamos alguns exemplos.

Exemplos:

1. Podemos escrever o polinômio $p(x) = 3x^3-7x^2-7x+3$ da seguinte maneira
$$3x^3-7x^2-7x+3 = (3x-1)(x+1)(x-3).$$
Essa é uma fatoração do polinômio $p(x)$. Observe que os fatores nessa fatoração são polinômios de grau $1$, ou seja, todos os fatores na fatoração de $p(x)$ são polinômios irredutíveis. Logo essa é uma fatoração completa de $p(x)$.

2. O polinômio $f(x) = 2x^4-2x^2-3x^3+3x$ pode ser escrito na seguinte forma
$$2x^4-2x^2-3x^3+3x = x(2x-3)(x^2-1).$$
Nessa fatoração do polinômio $f(x)$ um dos fatores é o polinômio $x^2-1$ que não é irredutível, pois ele pode ser escrito como $x^2-1 = (x+1)(x-1)$. Logo, a fatoração apresentada acima não é uma fatoração completa do polinômio $f(x)$.

Observação 1: Quando se trata de fatoração de polinômios, os produtos notáveis podem ser muito úteis, vamos lembrá-los
$$(x+a)^2 = x^2+2ax+a^2;$$
$$(x-a)^2 = x^2-2ax+a^2.$$
Além deles, a diferença de quadrados também é muito útil, que é
$$x^2-a^2 = (x+a)(x-a).$$

Note que os dois produtos notáveis e a diferença de quadrados acima são fatorações de polinômios. No exemplo 2 foi usada a diferença de quadrados para escrever $x^2-1=(x+1)(x-1)$ e justificar que a fatoração de $f(x)$ é incompleta.

Por meio desse dois exemplos percebemos que polinômios podem ser fatorados, mas podemos nos perguntar o seguinte: Sempre podemos fatorar um polinômio? O teorema a seguir tem a resposta para essa pergunta.

Teorema: Seja $f(x)$ um polinômio sobre $\mathbb{K}$ ($\mathbb{K} = \mathbb{C}$ ou $\mathbb{K} = \mathbb{R}$). Então, existem polinômios irredutíveis $p_1(x)$, $p_2(x)$, $\dots$, $p_n(x)$ sobre $\mathbb{K}$ tais que
$$f(x) = p_1(x) \cdot p_2(x) \cdot \dots \cdot p_n(x).$$

O que o teorema acima nos diz é, qualquer polinômio sobre $\mathbb{R}$ ou $\mathbb{C}$, possui uma fatoração completa, ou seja, qualquer polinômio sobre esses conjuntos pode ser fatorado. Apesar dessa informação ser muito importante (a existência da fatoração de qualquer polinômio sobre $\mathbb{R}$ ou $\mathbb{C}$), o teorema acima não trás consigo nenhuma informação ou método para fatorar um polinômio. Assim, dado um polinômio $p(x)$, para obtermos a fatoração desse polinômio vamos precisar aplicar tudo o que sabemos sobre raízes de polinômio, sobre métodos para encontrar raízes de polinômios e sobre polinômios irredutíveis. Em geral, não é fácil fatorar um polinômio. Por esse motivo, a seguir veremos alguns exemplos de como podemos fatorar um polinômio com algumas ideias que você pode usar sempre que precisar fatorar um polinômio.

Exemplos:

Nos exemplos a seguir, todos os polinômios serão considerados sobre $\mathbb{R}$.

1. Fatore o polinômio $p(x) = 2x^2+5x-3$.
Solução: Temos que fatorar um polinômio de grau $2$. Como vimos na postagem anterior, esse polinômio pode ser irredutível e, se ele for, não é possivel fatorá-lo. Para verificar se um polinômio de grau $2$ sobre $\mathbb{R}$ é irredutível, precisamos calcular o $\Delta$. Nesse polinômio temos $a=2$, $b=5$ e $c=-3$ e, desse modo
$$\Delta = b^2-4ac = 5^2-4 \cdot 2 \cdot (-3) = 25+24=49.$$
Como $\Delta > 0$, temos que esse polinômio é reditível e, assim, é possível fatorá-lo. Temos algumas formas de fatorar o polinômio $p(x)$. Vamos fazer aqui da maneira "mais difícil" e depois vamos ver forma mais fáceis de fatorar esse polinômio. Vamos primeiramente calcular as raízes desse polinômio. Observe que já calculamos $\Delta$, então, vamos usar a segunda parte da fórmula de Bhaskara para calcular as raízes de $p(x)$. Temos,
$$x = \frac{-b \pm \sqrt{\Delta}}{2a} = \frac{-5 \pm \sqrt{49}}{2 \cdot 2} = \frac{-5 \pm 7}{4}.$$
Desse modo, as raízes de $p(x)$ são $\displaystyle\frac{1}{2}$ e $-3$. Pelo que vimos na postagem #6, $p(x)$ é divisível por $x+3$ e  por $x - \displaystyle\frac{1}{2}$. Para evitar frações, vamos dividir $p(x)$ por $x-3$ e vamos encontrar o outro fator da fatoração de $p(x)$. Temos,
Divisão de polinômios
Pontanto $p(x) = (x+3)(2x-1)$. Essa é a fatoração de $p(x)$.

Fiz o exemplo acima da maneira "mais difícil" por que essa maneira sempre funciona para polinômios redutíveis de grau $2$.  Antes de fazermos uma observação com a maneira mais fácil de fatorar um polinômio (redutível) de grau $2$, veremos uma definição.

Definição: Conside um polinômio $f(x)$ sobre $\mathbb{R}$ ou $\mathbb{C}$. O polinômio $f(x)$ é chamado mônico ou unitário se o coeficiente dominante de $p(x)$ for igual a $1$.

Os polinômios $g(x) = x^2-3x-1$ e $h(x) = x^4-2x^3+1$ são exemplos de polinômios mônicos enquanto $r(x) = 2x^3-4x+1$ não é mônico.

Observação 2: Se $f(x)$ é um polinômio mônico de grau $2$, ou seja, se ele possui a forma $p(x) = x^2-a_1x+a_0$ e $\alpha$ e $\beta$ são as suas raízes, então $f(x) = (x-\alpha)(x-\beta)$. Se $\alpha = \beta$, vamos ter o caso do produto notável $f(x) = (x-\alpha)^2$.

Por exemplo, $f(x) = x^2-3x+2$ possui por raízes os números $1$ e $2$ (para verificar isso, podemos usar soma e produto). Desse modo podemos escrever $f(x)$ na forma 
$$f(x) = (x-1)(x-2).$$

Mesmo se o polinômio não for mônico, ainda podemos usar o raciocínio acima. No exemplo 1, temos o polinômio $p(x)=2x^2+5x-3$ que não é mônico. Nesse caso, colocamos o coeficiente dominante em evidência, assim vamos ter,
$$p(x) = 2\left(x^2+\frac{5}{2}x-\frac{3}{2}\right).$$
Agora, aplicamos o raciocínio anterior ao polinômio $x^2+\frac{5}{2}x-\frac{3}{2}$ que é mônico. As raízes desse polinômio são $-3$ e $\displaystyle\frac{1}{2}$ (já as calculamos no exemplo 1). Assim, o polinômio $p(x)$ pode ser escrito na forma
$$p(x) = 2\left(x^2+\frac{5}{2}x-\frac{3}{2}\right) = 2(x+3)\left(x-\displaystyle\frac{1}{2}\right).$$
a qual também é uma fatoração de $p(x)$.

Logo, para fatorar um polinômio (redutível) de grau $2$, se você não quiser fazer uma divisão de polinômios como no exemplo 1, basta conhecer suas raízes e usar o raciocínio da observação 2.

De um modo geral, se um polinômio $f(x)$ tem grau $n$, é mônico e possui $n$ raízes $r_1$, $\dots$, $r_n$, então o polinômio $f(x)$ pode ser escrito na forma
$$f(x) = (x-r_1)(x-r_2) \cdots (x-r_n).$$

Vamos continuar com os exemplos.

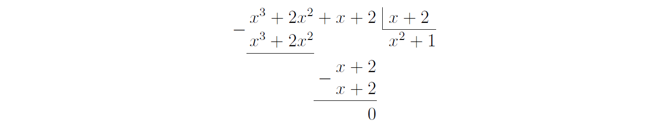
2. Fatore completamente o polinômio $p(x) = x^3+2x^2+x-4$.
Solução: Vamos começar tentando  determinar alguma raiz do polinômio $p(x)$. Pelo Teorema das Raízes Racionais, temos que $\pm 1$, $\pm 2$ e $\pm 4$ são possíveis raízes de $p(x)$. Para verificar se, de fato, algum desses números é uma raíz de $p(x)$, devemos testá-los. Temos
\begin{eqnarray} p(1) &=& 1^3+2 \cdot 1^2 + 1 - 4 \\ &=& 1 + 2+1 - 4 = 0.\end{eqnarray}
Que sorte a nossa! O primeiro número testado já é uma raiz. Bom, poderíamos testar as outras possibilidades para saber se entre elas temos outras raízes, mas não vamos fazer isso. Por que? Como sabemos que $1$ é raiz, então $x-1$ divide $p(x)$. Fazendo essa divisão, vamos encontrar um polinômio $q(x)$ de grau $2$ tal que $p(x) = (x-1)q(x)$ ($q(x)$ terá grau $2$ pois $gr(p(x)) = gr(x-1)+gr(q(x))$, ou seja, $3=1+gr(q(x))$). Assim, para continuar fatorando o polinômio $p(x)$, basta fatorar $q(x)$ que é um polinômio de grau $2$, os quais sabemos bem como fatorar. Dividindo $p(x)$ por $x-1$, temos
Divisão de polinômios

Logo, $p(x) = (x-1)(x^2+3x+4)$. Uma fatoração completa é uma fatoração onde todos os fatores são irredutíveis. Assim, para continuar a fatoração de $p(x)$ devemos verificar se $x^2+3x+4$ é irredutível. Se ele for, a fatoração acima já é a que estamos procurardo e, se ele não for, vamos ter que fatorar o polinômio $x^2+3x+4$. Para esse polinômio, temos $a=1$, $b=3$ e $c=4$. Assim, 
$$\Delta = b^2-4ac = 3^2-4 \cdot 1 \cdot 4 = 9-16=-7.$$
Como $\Delta < 0$, o polinômio $x^2+3x+4$ é irredutível e a fatoração $p(x) = (x-1)(x^2+3x+4)$ de $p(x)$ é uma fatoração completa.

Antes do próximo exemplo, temos outra observação importante.

Observação 3: Considere $f(x)$ um polinômio qualquer. Se a somas dos seus coeficientes for igual a $0$, então o número $1$ é raiz de $p(x)$.

Essa observação poderia ser usada para calcular a raiz de $p(x)$ do exemplo 2. Sempre que for calcular as raízes de um polinômio, sempre verifique se a soma de seus seus coeficientes é igual a $0$, pois se for, já terá o número $1$ como raiz desse polinômio.

Vamos para o próximo exemplo.

3. Determine a fatoração completa do polinômio $p(x) = x^3-7x-6$.
Solução: Os coeficientes do polinômio $p(x)$ são $1$, $-7$ e $-6$ e, como $1-7-6 = -12 \neq 0$, segue que $1$ não é raiz de $p(x)$. Vamos aplicar nesse polinômio o Teorema das Raízes Racionais. Por esse teorema, as possibilidades de raízes de $p(x)$ são $\pm 1$, $\pm 2$, $\pm 3$ e $\pm 6$. Como $1$ não é raiz de $p(x)$, vamos começar a testar as possibilidades de raízes pelo $-1$. Temos,
$$p(-1) = (-1)^3-7 \cdot (-1)-6 = -1+7-6=0.$$
Já encontramos uma raiz de $p(x)$, o $-1$. Assim, $p(x)$ é divisível por $x+1$. Fazendo a divisão, temos
 
Divisão de polinômios
Logo, $p(x) = (x+1)(x^2-x-6)$. Para continuar a fatoração de $p(x)$, vamos fatorar $x^2-x-6$. Usando soma e produto, temos que este polinômio possui as raízes $-2$ e $3$ (ele é redutível). Desse modo, como $x^2-x-6$ é mônico, segue que $x^2-x-6=(x+2)(x-3)$. Portanto, a fatoração completa de $p(x)$ é $p(x)= (x+1)(x+2)(x-3)$.

4. Encontre a fatoração completa do polinômio $p(x) = x^4+3x^3+3x^2+3x+2$.
Solução: Claramante, $1$ não raiz do polinômio $p(x)$. Como esse polinômio possui grau $4$, vamos novamente usar o Teorema das Raízes  Racionais. Desse modo, as possibilidade de raízes são $\pm 1$ e $\pm 2$. Como já sabemos que $1$ não é raiz, vamos prosseguir testando o $-1$. Temos,
\begin{eqnarray} p(-1) &=& (-1)^4+3 \cdot (-1)^3 + 3 \cdot (-1)^2  + 3 \cdot (-1) + 1 \\ &=& 1 -3+3-3+2 = 0. \end{eqnarray}
Logo, $-1$ é raiz de $p(x)$. Vamos agora dividir $p(x)$ por $x+1$. Temos
Divisão de polinômos

Logo, $p(x) = (x+1)(x^3+2x^2+x+2)$. Agora temos que continuar fatorando o polinômio $q(x) = x^3+2x^2+x+2$. Vamos novamente aplicar o Teorema das raízes racionais nesse polinômio. Desse modo, suas possíveis raízes são $\pm 1$ e $\pm 2$. E fácil ver que $1$ não é raiz. Assim, vamos  testar as outras posibilidades. Temos
\begin{eqnarray} q(-1) &=& (-1)^3+2 \cdot (-1)^2 + (-1)+2 \\ &=& -1 + 2- 1 +2 = 2 \end{eqnarray}

\begin{eqnarray} q(2) &=& 2^3+2 \cdot 2^2 + 2 +2 \\ &=& 8 + 8 + 2 +2 = 20 \end{eqnarray}

\begin{eqnarray} q(-2) &=& (-2)^3+2 \cdot (-2)^2 + (-2)+2 \\ &=& -8 + 8- 2 +2 = 0 \end{eqnarray}

Logo, $-2$ é raiz de $q(x)$ e $q(x)$ é divisível por $x+2$. Fazendo a divisão, temos
 
Divisão de polinômios
Assim, $q(x) = (x+2)(x^2+1)$. Escrevendo $q(x)$ dessa forma, temos que $p(x) = (x+1)(x+2)(x^2+1)$. Observe que $x^2+1$ é irredutível, pois esse polinômio possui $\Delta = -4 < 0$. Logo, $p(x) = (x+1)(x+2)(x^2+1)$ é uma fatoração completa.

5. Determine a fatoração completa do polinômio $p(x) = x^4+2x^3+2x^2$.
Solução: Vamos fazer esse exemplo de uma forma diferente. Antes de tentar usar o Teorema das Raízes Racionais, podemos tentar reescrever o polinômio já determinando a sua forma fatorada. Observe que podemos colocar o $x^2$ em evidência no polinômio $p(x)$ e, assim, temos
$$p(x) = x^2(x^2 + 2x+ 1).$$
Agora, observe que $x^2+2x+1 = (x+1)^2$, logo
$$p(x) = x^2(x+1)^2.$$
Essa é a fatoração completa de $p(x)$, pois é um produto de polinômio de grau $1$ ($p(x) = x x (x+1)(x+1)$). 

Então, antes de pensar um uma conta mais complicada ou uma forma mais complexa de fatorar um polinômio, tente reescrevê-lo em forma de produto colocando algum termo em evidência. Isso pode simplificar bastate o processo de fatorar um polinômio.

Vamos usar esse mesmo raciocínio no próximo exemplo (um pouco mais complicado).

6. Fatore completamente o polinômio $p(x) = x^5-x^4-5x^3+5x^2+4x-4$.
Solução: Podemos reescrever esse polinômio na seguinte forma
\begin{eqnarray} x^5-x^4-5x^3+5x^2+4x-4 &=& x^5-x^4-x^3+x^2 - 4x^3+4x^2+4x-4 \\ &=&  x^2(x^3-x^2-x+1) -4(x^3-x^2-x+1) \\ &=& (x^2-4)(x^3-x^2-x+1) \\ &=& (x^2-4)(x^3-2x^2+x+x^2-2x+1) \\ &=& (x^2-4)(x(x^2-2x+1) + (x^2-2x+1)) \\ &=& (x^2-4)(x+1)(x^2-2x+1) \\ &=& (x^2-4)(x+1)(x-1)^2 \\ &=& (x-2)(x+2)(x+1)(x-1)^2  \end{eqnarray}
Logo, a fatoração de completa de $p(x)$ é 
$$p(x) = (x-2)(x+2)(x+1)(x-1)^2.$$

Raramente a ideia utilizada no exemplo 6 é fácil de  ser aplicada, mas é uma tentativa a ser considerada.

Esses 6 exemplos contém ideias para fatorar polinômios que são muito úteis. Se você estudar esses exemplos e aplicar as mesmas ideias a outros polinômio, a chance de você conseguir fatorá-lo é muito grande.

Por último, um exemplo em vídeo:



Gostou do conteúdo dessa postagem? Foi útil para você? Tem alguma dúvida? Deixe um comentário.